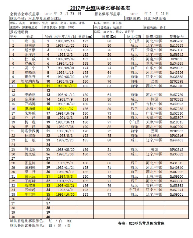
2017中超名单之河北华夏幸福:新“埃”神降临 2017年03月02日16:00 新浪体育 微博 分享 新浪微博 微信 腾讯QQ QQ空间 | 评论 华夏幸福迎来新赛季 3月2日,中国足协发布各支中超球队报名名单,2017年中超联赛即将打响,河北华夏新赛季报名表出炉。 标签: 中超河北名单华夏幸福中国足协 相关阅读: 加载中,请稍候...